Aptitudes Vocacionales y Calidad de Vida Estudiantil: Un Estudio en el Contexto Académico Contemporáneo
/
Vocational Attitudes and Student Quality of Life: A Study in the Contemporary Academic Context

Danny Gonzalo Rivera Flores
Universidad Técnica de Ambato, Ecuador
dannygriveraf@uta.edu.ec
https://orcid.org/0000-0001-5542-5565

Daniela Nicole Naula Sánchez
Universidad Técnica de Ambato, Ecuador
dnaula1266@uta.edu.ec
https://orcid.org/0009-0004-7645-6642

Laura Inés Criollo Barrera
Universidad Técnica de Ambato, Ecuador
lauines92@gmail.com
https://orcid.org/0009-0002-6690-5526

Sara Nidhya Camacho Estrada
Universidad Técnica de Ambato, Ecuador
scamacho@uta.edu.ec
https://orcid.org/0000-0003-1496-7696


Fecha de Recepción:
 10 de Julio de 2024

Fecha de Aceptación: 02 de Noviembre de 2024

Fecha de Publicación: 31 de Marzo de 2025

Financiamiento:

Se financió con recursos propios.

Conflictos de interés:

Los autores declaran no presentar conflicto de interés.

Correspondencia:

Nombres y Apellidos: Danny Gonzalo Rivera Flores

Correo electrónico: dannygriveraf@uta.edu.ec

Dirección postal: Ecuador


Resumen

Este estudio surgió de la necesidad de examinar la calidad de vida de los estudiantes en los colegios modernos y su relación con el desarrollo de habilidades vocacionales. Para lograrlo, se utilizó un enfoque metodológico mixto, descriptivo, exploratorio y correlacional, y se utilizó investigación de campo y de investigación bibliográfica. La prueba CHASIDE, que evalúa las habilidades vocacionales, y la escala GENCAT, que evalúa la calidad de vida del estudiante, fueron los instrumentos utilizados. Los resultados respaldan la hipótesis de que existe una correlación estrecha entre las aptitudes vocacionales de los estudiantes y su calidad de vida. Se descubrió que un entorno educativo favorable, donde un departamento de orientación vocacional fomenta la exploración y el desarrollo de sus habilidades vocacionales, está relacionado con un nivel satisfactorio de calidad de vida en los estudiantes. Los maestros, los consejeros escolares, los trabajadores sociales y los psicólogos están involucrados activamente en este proceso.

Palabras Clave: vocación. aptitudes. intereses. calidad de vida. bienestar emocional. desarrollo personal.

Abstract

This study arose from the need to examine the quality of life of students in modern schools and its relationship with the development of vocational skills. To achieve this, a mixed methodological, descriptive, exploratory, and correlational approach was used, and field research and bibliographic research were utilized. The CHASIDE test, which assesses vocational skills, and the GENCAT scale, which assesses the student's quality of life, were the instruments used. The results support the hypothesis that there is a close correlation between students' vocational skills and their quality of life. It was found that a favorable educational environment, where a vocational guidance department encourages the exploration and development of their vocational skills, is related to a satisfactory level of quality of life in students. Teachers, school counselors, social workers and psychologists are actively involved in this process.

Keywords: vocation. skills. interests. quality of life. emotional well-being. personal development.

Introducción

En lugar de concentrarse en una sola disciplina, los estudiantes se han vuelto multidisciplinarios en la actualidad. Esta nueva generación busca ampliar y diversificar sus intereses personales al consolidar sus conocimientos a través de métodos, perspectivas y contenidos de varias asignaturas. Ser un estudiante multidisciplinario tiene muchos beneficios, como tener una perspectiva integral sobre los problemas que surgen durante la vida estudiantil. Además, la multidisciplinariedad aumenta la capacidad creativa e innovadora al permitir la integración de conocimientos de diferentes campos académicos[a][b][c][d] y profesionales[1].[e][f]

Además, un estudiante multidisciplinario desarrolla una amplia gama de habilidades para resolver problemas complejos porque tiene la habilidad de utilizar una variedad de enfoques y métodos[2]. Sin embargo, para maximizar estos beneficios, es necesario un entorno académico contemporáneo[3][g][h] que incluya las circunstancias, características y dinámicas que se encuentran en la actualidad[4]. Este entorno educativo debe incorporar una variedad de enfoques pedagógicos, tecnologías, estructuras organizativas y formas de enseñanza (Tabla 1).

Tabla 1. Elementos del entorno académico contemporáneo.

Elementos del entorno académico contemporáneo

Elemento

Detalle

Tecnología Avanzada

Plataformas de aprendizaje en línea. Aplicaciones educativas. Recursos multimedia.

Diversidad e Inclusión.

Entornos educativos inclusivos en términos de cultura, etnia, género y habilidades.

Enseñanza Innovadora

Aprendizaje basado en proyectos. Aprendizaje colaborativo y personalizado.

Interdisciplinariedad[i][j]

Integración de diferentes disciplinas para proporcionar una educación más holística y relevante.

Competencias del Siglo XXI

Formación de habilidades críticas: pensamiento crítico, creatividad, comunicación efectiva, y colaboración.

Evaluación y Retroalimentación Continua

Medir el desarrollo continuo de los estudiantes mediante la retroalimentación constante y la autoevaluación.

Bienestar Estudiantil

Atención a la salud mental y bienestar general de los estudiantes para un equilibrio saludable entre la vida académica y personal.

Globalización y Conectividad

Preparar a los estudiantes para un mundo globalizado, promoviendo competencias interculturales y una comprensión de los problemas globales.

Nota: Elaboración propia basada en Giler et al. (2020)[5].

Orientación Vocacional

En el territorio nacional existe una depresión conceptual en lo que respecta a la vocación y por ende en la toma de decisiones vocacionales y profesionales. Institucionalmente no existe un adecuado asesoramiento vocacional en términos de factores y etapas de manera global y técnica[6]. Se trata de una herramienta fundamental para el desarrollo personal en la formación personal y profesional de un individuo, pues interviene directamente en la toma de decisiones relacionadas con la carrera profesional. El papel de un asesor vocacional toma importancia en el momento que garantiza mejores interacciones entre estudiantes en entornos notablemente adecuados[7].

Fuera del contexto religioso, la vocación se refiere a la autorrealización en total libertad, donde[k][l] se fomenta el autoconocimiento a través de la orientación vocacional y se desarrolla la paciencia y la tolerancia durante el proceso de búsqueda existencial[8]. Este concepto incluye la inclinación y la inclinación hacia una carrera o profesión específica, basada en los intereses y habilidades de cada individuo[9]. Además, la orientación vocacional  mantiene enfoques que la ayudan a dirigir su proceso (Tabla 2).

Según Niama et al., un proceso de orientación vocacional exitoso permite a los niños y adolescentes conocerse a sí mismos al brindarles un espacio de reflexión donde pueden identificar sus habilidades, cualidades e intereses[10]. Este proceso resulta de la adquisición de conocimientos, experiencia y competencias. Esto ayuda a elegir, prepararse y acceder a una profesión. Al brindarles elementos claros sobre sus habilidades en relación con sus intereses y preferencias, la orientación vocacional fomenta la autonomía al ayudar a los jóvenes a identificar y evaluar, desde su perspectiva, las opciones y posibilidades para elegir una carrera u oficio.

Tabla 2. Enfoques de la Orientación Vocacional[11]

Enfoques de la orientación vocacional

Enfoques

Detalle

De Derecho

Las acciones se basan en el respeto, defensa y reconocimiento íntegro de los derechos de los estudiantes.

De Género

Aumentar el reconocimiento de la igualdad en cuanto a las capacidades que poseen todas las personas, independientemente. de su género

Intercultural

Se centra en la diversidad de perspectivas del mundo, creencias y estilos de vida, y cómo influyen en las personas al tomar decisiones

Intergeneracional

Se centra en la reducción de desigualdades en las relaciones entre adultos y jóvenes.

De Bienestar

Su eje central es el estudiante y sus necesidades a fin de proporcionarle varias oportunidades para que pueda establecer su proyecto de vida.

Inclusivo

Implementa estrategias de enseñanza flexibles e innovadoras que respetan los distintos estilos de aprendizaje.

Pedagógico

Destaca la importancia de que los estudiantes adquieran experiencias relacionadas con sus intereses, aptitudes y actitudes para fortalecer la toma de decisiones.

Nota: Elaboración propia basada en el Manual de Orientación Vocacional y Profesional para los Departamentos de Consejería Estudiantil del Ecuador (MINEDUC, 2019).

Las aspiraciones profesionales de cada persona y su relación con sus habilidades y aptitudes determinan su identidad vocacional. Según MINEDUC (2019), es el momento en que los adolescentes deciden su carrera o profesión[12]. La formación de esta identidad está influenciada por una variedad de factores. Uno de ellos es la autoeficacia, que se refiere a la confianza que una persona tiene en sus capacidades para realizar ciertas tareas. El autoconcepto, según Borzone (2019), es el conjunto de reflexiones internas que realiza una persona para adquirir conciencia sobre su proceso de aprendizaje[13]. La importancia de la motivación también está también implícita, según Poblete y Jiménez (2019), es una condición interna que fomenta ciertos comportamientos y orienta el camino hacia un objetivo o meta, considerando la importancia de satisfacer diversas necesidades[14].

Calidad de Vida
Según González et al. (2021), la calidad de vida implica variabilidad, complejidad, subjetividad y dinamismo[15]. Martín Aranda (2022) afirma que la calidad de vida se compone de dos aspectos: el primero se relaciona con aspectos objetivos y externos, que son invariables; y el segundo se relaciona con aspectos subjetivos e internos, que se construyen por la persona a partir de su autoevaluación[16]. Además, el Gobierno Mexicano (2021) señala un tercer elemento que tiene que ver con las políticas públicas, los programas comunitarios y los servicios institucionales[17]. El bienestar físico, psicológico, espiritual y social, así como el desarrollo profesional y la capacidad de independencia son componentes de la calidad de vida (Martín, 2022)[18]. En el ámbito educativo, González et al. (2021) señalan que la calidad de vida de los maestros tiene un impacto en los elementos esenciales necesarios para brindar una educación significativa (Tabla 3)[19]. Villarreal et al. (2021) describe la calidad de vida como el estado de bienestar de una persona[20].

Según Martínez et al. (2020), la autorrealización se alcanza cuando una persona completa su potencial[21]. Rivas et al. (2020) definen la autorrealización como afirmaciones tanto objetivas como subjetivas[22]. Estas premisas sugieren que la autorrealización y la calidad de vida están estrechamente relacionadas y que alcanzar la última es esencial para tener una buena calidad de vida (Tabla 4)[23]. La jerarquía de necesidades humanas es otro factor que influye en la calidad de vida (Doubront & Doubront, 2020)[24].

Tabla 3. Componentes de la Calidad de Vida

Definición de los componentes de la calidad de vida

Bienestar

Detalle

Físico

Aspectos de salud y seguridad física.        

Material

Disfrutar de una vivienda digna y propia, con servicios básicos, alimentos al alcance, medios de transporte.

Educativos

Existencia y cercanía a una educación donde permita ampliar los conocimientos de forma individual y colectiva

Emocional

Permite que su estado emocional vaya creciendo e interrelacionarse eficazmente.

Social

Relaciones interpersonales con núcleos básicos como la familia y círculos de amistades que permitan desarrollo de este.

Nota: En la tabla se describe los principales componentes de la calidad de vida del ser humano según Veramendi et al., (2020).

Tabla 4. Dimensiones de la Calidad de Vida

Dimensiones de la calidad de vida

Dimensiones

Detalle

Bienestar Emocional

Felicidad y bienestar; además, incluye sentirse cómodo consigo mismo.        

Relaciones Interpersonales

Amigos, núcleo familiar y trabajo. Disponer de buenas relaciones con los demás.

Bienestar Material

Medios y condiciones de vida.

Desarrollo Personal

Realización personal, profesional, recreación, salud y espiritualidad.

Bienestar Físico

Disponer de salud física y mental.

Autodeterminación

Disponer de la opción de elegir algo que responda a los intereses del individuo, necesidades y motivación.

Inclusión Social

Oportunidad y dignificación del individuo para su participación en la sociedad.

Derechos

Ser tratado con equidad y justicia, cumplir con los derechos básicos de ser persona.

Nota: Se describe las principales dimensiones de la calidad de vida del ser humano (Vega et al., 2020) [25]

Métodos
Para facilitar la generación de conclusiones basadas en investigaciones previas, el estudio actual utiliza una metodología mixta que combina datos cuantitativos y cualitativos (Sampieri & Mendoza, 2021)[26]. Es secuencial y probatorio, analizando tanto los datos cuantitativos como la información cualitativa de la investigación.

Se organizó mediante dos alcances: descriptiva y correlacional. La investigación descriptiva tiene como objetivo identificar las características y propiedades más importantes de procesos, grupos o fenómenos específicos. En pocas palabras, su objetivo es recopilar y analizar los datos necesarios para definir las variables que se están estudiando (Ferreyra, 2024)[27]. Los estudios correlacionales evalúan el relacionamiento entre las variables de investigación, por lo cual se confirmó y proporcionó información valiosa sobre la evaluación entre las aptitudes vocacionales y la calidad de vida (Naranjo, 2024)[28]. La correlación se realizó entre datos ordinales versus nominales.

Durante el proceso investigativo se obtuvo información de diversas fuentes, entre ellas están: plataformas digitales, libros electrónicos, revistas, artículos científicos y tesis, datos que han permitido una exploración profunda y la obtención de datos confiables y sostenibles para las variables en estudio, logrando así los objetivos propuestos. Por otra parte, la investigación in situ, consiste en comprender la realidad del fenómeno. De la población general que contempla 153 estudiantes, se considera una muestra de 147 estudiantes, considerando un muestreo no probabilístico por conveniencia, aplicando criterios de inclusión y exclusión. Los criterios de inclusión fueron que los estudiantes debían estar legalmente matriculados, contar con la firma de autorización del representante y tener la edad psicológica adecuada. Por otro lado, se excluyeron aquellos estudiantes que presentaran alteraciones psicológicas o que tuvieran necesidades educativas especiales como dificultades en el habla, problemas de articulación, retraso en el lenguaje, TDAH, discapacidad motora, o deficiencias auditivas y visuales.[m][n] 

Recolección de Datos

Mediante la aplicación del test CHASIDE y complementada por la Escala GENCAT se obtiene datos concretos acerca de las variables propuestas para su análisis y síntesis. La información obtenida se recopila en una hoja de cálculo de Excel, para luego ser validada en uso del test de Kruskal-Wallis que se trata de una prueba no paramétrica. La variable aptitud vocacional del test CHASIDE se mide en los parámetros: C = Contable, H = Humanísticas, A = Artísticas, S = Salud, I = Ingenierías, D = Defensa, E = Ciencias agrarias, mientras que la variable Calidad de vida se mide en una escala de 1 a 5, donde: bajo, medio bajo, medio, medio alto, alto.

Resultados

Del cuestionario estructurado para la evaluación de las Aptitudes Vocacionales CHASIDE.

Figura 1.

Resultados generales del test CHASIDE por área ocupacional

De los 147[o][p] estudiantes que representan al 100 % que participaron en el test, se derivan los siguientes resultados: 21 participantes tienen preferencia por el área de Administrativas y Contables representan al 14,29[q][r] %, 36 participantes eligieron a las ciencias Humanísticas y Sociales representando al 24,49 %, 25 participantes acogen el área de Artísticas representado al 17,01  %, 27 participantes prefieren el área de Medicina y Ciencias de la salud representado al 18,37 %, 10 participantes les gusta áreas de Ingeniería y Computación representando al 6,80 %, 13 participantes escogen áreas de Defensa y Seguridad representando 8,84 % y finalmente 15 participantes se direccionan hacia áreas de Ciencias Exactas y Agrarias representando al 10,20 %.

Los hallazgos indican que los estudiantes prefieren las áreas Administrativas y Contables, Humanísticas y Sociales, Artísticas y Medicina y Ciencias de la Salud. Aunque hay muchos profesionales en las áreas administrativas y contables, la gestión eficaz de organizaciones sigue siendo un tema de gran interés. Las carreras humanísticas y sociales atraen a los estudiantes que quieren comprender el comportamiento humano y la sociedad. En Medicina y Ciencias de la Salud, se destaca la importancia de los profesionales de la salud, mientras que en el ámbito artístico se valora la creatividad y la expresión personal. Según los datos, los estudiantes están motivados a aprender habilidades en gestión financiera, administrativa y comercial. El creciente interés en Medicina y Ciencias de la Salud refleja una creciente preocupación por el bienestar humano, que requiere una formación académica rigurosa y una práctica ocupacional abundante[29].

Del cuestionario estructurado para la evaluación de la Calidad de Vida

Figura 2

Resultados generales de la escala GENCAT

De los estudiantes[s][t] encuestados se puede verificar que 31,29 % participantes denotan un nivel de calidad de vida alto; 19,73 % denotaron un nivel de calidad de vida medio alto; 14,29 % consolidan un nivel de calidad de vida medio, 19,05 % denotaron un nivel de calidad de vida medio bajo; y, el 15,65 % muestran un nivel de calidad de vida bajo.

Los datos muestran que la mayoría de los estudiantes tienen un nivel de calidad de vida de medio alto a alto, influenciado por factores sociales, familiares, educativos, económicos y personales, según el análisis. El porcentaje más bajo es la calidad de vida media, lo[u][v] que indica un desarrollo exitoso en general. Sin embargo, un gran número de estudiantes tiene niveles de calidad de vida de medio bajo a bajo, lo que requiere atención especializada para abordar áreas específicas de desarrollo, según las dimensiones evaluadas en el examen[30].

El estudio de Berghe, Rodero & Martín (2021)[31], los factores determinantes en la calidad de vida de los estudiantes suelen ser multifacéticos, y comprenden aspectos como el soporte familiar, el contexto educativo y las condiciones económicas. López et al. (2020), se observa que factores como el entorno social y familiar, así como el nivel económico, tienen un impacto considerable en la calidad de vida de los estudiantes[32]. Rodríguez et al. (2024) resalta que una alta calidad de vida está asociada con un buen desarrollo académico y personal. Además, señalan que la implementación de programas de apoyo y asesoramiento para estudiantes con niveles bajos de calidad de vida, para mejorar su bienestar general y su rendimiento académico[33].

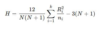
Análisis de los resultados y verificación de la hipótesis

Luego de realizada la investigación es necesario que las hipótesis sean verificadas. Los resultados acerca de calidad de vida del estudiante y de su grupo de carrera. Para esto es necesario llevar a cabo diferentes procesos que nos permitan calcular la estadística de Kruskal-Wallis:

Figura 3.

Fórmula Kruskal-Wallis

[w][x]

El test de Kruskal-Wallis es una prueba no paramétrica utilizada para comparar tres o más grupos independientes en relación con una variable ordinal o continua, con el objetivo de determinar si existen diferencias significativas entre las medianas de estos grupos. En esta investigación, se consideran dos variables nominales (grupos de carreras según el test CHASIDE) y una variable ordinal (calidad de vida).

Se compara la estadística H con la distribución chi-cuadrado con 𝑘−1 grados de libertad para obtener el valor p.

Si el valor p es menor que el nivel de significancia (por ejemplo, 0.05), rechazar la hipótesis nula y concluir que hay diferencias significativas en la calidad de vida entre los grupos de carreras.

Comprobación de hipótesis para Intereses Vocacionales (IV) vs Calidad de Vida

Tabla 5. Estadísticos de prueba a,b (IV)

Calidad de vida

H de Kruskal-Wallis

14,658

gl

6[y][z]

Sig. asintótica

,023

a. Elaboración fuente propia de prueba de Kruskal Wallis.

b. Variable de agrupación: Chaside IV

Comprobación de hipótesis para para Aptitudes Vocacionales (AV) vs Calidad de Vida

Tabla 6. Estadísticos de pruebaa,b (AV)

Calidad de vida

H de Kruskal-Wallis

16,658

gl

6

Sig. asintótica

,011

a. Elaboración fuente propia de prueba de Kruskal Wallis.

b. Variable de agrupación: Chaside AV

Rechazamos la hipótesis nula (H0) porque los valores p (0.023 y 0.011) son menores que el nivel de significación de 0.05. Esto demuestra que al menos dos grupos de Chaside IV y Chaside AV difieren significativamente en la calidad de vida, lo que indica que la percepción de la calidad de vida varía significativamente entre los diferentes grupos de carreras. Por lo tanto, podemos afirmar que hay al menos una diferencia significativa en la calidad de vida entre al menos dos de los grupos de carreras.

Análisis Comparativo de la Calidad de Vida entre Diferentes Grupos de Carreras Universitarias según el Test CHASIDE Intereses Vocacionales (IV)

La distribución de las puntuaciones de calidad de vida para cada grupo de carreras se muestra en un gráfico de boxplots (Chaside IV). Cada caja muestra el rango intercuartílico, que va del primer al tercer cuartil. Una línea dentro de la caja muestra la mediana, y los "bigotes" muestran los valores mínimos y máximos dentro del rango intercuartílico 1,5 veces.

Figura 4

Aplicación del CHASIDE Intereses Vocacionales (IV) [34]

La percepción de la calidad de vida en los grupos de Humanidades, Arte, Salud, Defensa y Ciencias Agrarias es muy variada, lo que indica diferencias significativas entre las personas dentro de estos grupos. Por otro lado, las percepciones de calidad de vida son más altas y uniformes en los grupos de contabilidad e ingeniería, con una mediana de alrededor de 4 y una menor dispersión. Las percepciones de la calidad de vida varían significativamente entre los grupos. Esto se confirma por la significación estadística de la prueba de Kruskal-Wallis (p=0.011).

Figura 5

Aplicación del CHASIDE Aptitudes Vocacionales (AV)

Los grupos de contabilidad e ingeniería reportaron medianas de calidad de vida altas (alrededor de 4.5 y 4.0, respectivamente) y mostraron menor dispersión, lo que indica percepciones más positivas y uniformes. Por otro lado, los grupos de Humanidades, Arte, Salud y Ciencias Agrarias tienen medianas de 3,0 a 3,5, pero presentan mayor variabilidad, lo que indica una amplia gama de percepciones de calidad de vida. El alta mediana y la baja dispersión en contabilidad refuerzan los resultados estadísticos que indican diferencias significativas en la calidad de vida entre los grupos. Estos patrones indican que algunos grupos, como los de contabilidad e ingeniería, tienen percepciones más altas y consistentes de su calidad de vida, mientras que otros grupos muestran mayor diversidad en estas percepciones, reflejando diversas experiencias y factores que afectan su calidad de vida.

Conclusiones

Se encontró una correlación significativa entre estas dos variables en un estudio que utilizó varios postulados teóricos y los exámenes CHASIDE para aptitudes vocacionales y GENCAT para calidad de vida. La orientación vocacional se presenta como un proceso secuencial y continuo que ayuda a los estudiantes a identificar sus intereses y aptitudes para proyectarse hacia una profesión específica. La administración, las humanidades, las ciencias sociales y jurídicas, las artes, las ciencias de la salud, las ciencias técnicas, la defensa y la seguridad y las ciencias experimentales fueron todas áreas que participaron en el análisis de las aptitudes vocacionales mediante el examen CHASIDE.

Se utilizó el examen CHASIDE para llevar a cabo un proceso de evaluación en el análisis de aptitudes vocacionales. Los hallazgos mostraron que las habilidades vocacionales de los estudiantes están motivadas por el deseo de aprender habilidades en gestión empresarial, finanzas y contabilidad. Asimismo, tienen la intención de ayudar a la sociedad a través de campos como la psicología, la sociología, el derecho y la educación. Finalmente, se notó una preocupación por el bienestar humano y una disposición para asumir roles que requieren un alto nivel de dedicación y formación rigurosa. Esto está relacionado con el Bachillerato General Unificado de la Unidad Educativa, que cubre una amplia gama de áreas del conocimiento. Las dimensiones humanísticas y sociales tienen el mayor porcentaje de intereses (24,49%) y medicina y ciencias de la salud (18,37%).

Se utilizó la escala GENCAT para evaluar la calidad de vida del estudio, que considera los aspectos de bienestar emocional, interpersonal, material, desarrollo personal, bienestar físico, autodeterminación, inclusión social y derechos. Los resultados demostraron que los estudiantes lograron desarrollarlas eficazmente en la mayoría de las dimensiones evaluadas, con un porcentaje significativo (medio alto a alto: 51,02%). Este descubrimiento resalta la importancia de tener en cuenta los diversos contextos sociales, familiares, educativos, económicos y personales de cada estudiante, ya que estos factores tienen un impacto significativo en su calidad de vida. Finalmente, se observó que un porcentaje menor de la población tenía un índice de calidad de vida de nivel medio bajo o bajo.

Las aptitudes vocacionales de los estudiantes reflejan un deseo de adquirir habilidades empresariales, financieras y contables, así como de desempeñar labores sociales a través de disciplinas como psicología, sociología, derecho y educación. Las pruebas realizadas muestran diferencias significativas en la calidad de vida entre al menos dos grupos de carreras, lo que confirma la hipótesis alternativa. Se rechaza la hipótesis nula (H0) cuando el valor p (0.023) es menor que el nivel de significación de 0.05. De manera similar, esta conclusión se corrobora con un valor p (0.011) menor que 0.05. Esto indica que la variabilidad en la calidad de vida reportada por los estudiantes varía significativamente entre los grupos de carreras, lo que indica que las percepciones de la calidad de vida de los estudiantes varían entre ellos.

Bibliografía [aa][ab][ac]

Alarcón, E., y B. Cortón. “Identidad profesional pedagógica e identidad nacional: Sus relaciones.” EduSol 81, no. 22 (2022): 112–26. https://www.redalyc.org/journal/4757/475773282010/.

Alvarado, S. “Conducta vocacional del estudiantado de la carrera de Orientación de la Universidad de Costa Rica.” Revista Electrónica Actualidades Investigativas en Educación 23, no. 2 (2023): 1–35. https://doi.org/10.15517/aie.v23i2.52964.

Berghe, C., H. Rodero, y A. Martín. “Quality of Life and Its Determinants in Spanish University Students of Health Science Factors.” Nutrición Hospitalaria: Órgano Oficial de la Sociedad Española de Nutrición Parenteral y Enteral 31, no. 2 (2015): 952–58. https://dx.doi.org/10.3305/nh.2015.31.2.8509.

Bond, M., K. Buntins, S. Bedenlier, O. Zawacki-Richter, y M. Kerres. “Mapping Research in Student Engagement and Educational Technology in Higher Education: A Systematic Evidence Map.” International Journal of Educational Technology in Higher Education 17, no. 2 (2020): 1–30. https://www.proquest.com/docview/2343531287?sourcetype=Scholarly%20Journals.

Borzone, M. A. “Autoeficacia y vivencias académicas en estudiantes universitarios.” Acta Colombiana de Psicología 20, no. 1 (2019): 275–83. https://dx.doi.org/10.14718/ACP.2017.20.1.13.

Cantor, J., y A. Altavaz. “Los modelos pedagógicos contemporáneos y su influencia en el modo de actuación profesional pedagógico.” Varona, no. 68 (2019): [páginas]. https://www.redalyc.org/journal/3606/360671526021/.

Condori, P. “Orientación profesional y satisfacción vocacional.” Reflexiones en Psicología 15 (2021): 45–58. http://www.scielo.org.bo/scielo.php?script=sci_arttext&pid=S2223-30322016000100004&lng=es&tlng=es.

Doubront, M., y L. Doubront. “Impacto del contexto económico, social y político de Venezuela en el docente universitario: Análisis desde la pirámide de Maslow.” Dissertare Revista de Investigación en Ciencias Sociales 5, no. 2 (2020): 1–15. https://revistas.uclave.org/index.php/dissertare/article/view/2791.

Dwedar, D. “Learning Online: The Student Experience.” Contemporary Educational Technology 14, no. 2 (2022): [páginas]. https://doi.org/10.30935/cedtech/11687.

Ferreyra, A. Metodología de la investigación I. Córdoba: Editorial Brujas, 2024. https://elibro.net/es/ereader/uta/77034?page=1.

Giler, R., H. Angulo, N. Molina, y L. Solórzano. “Entorno educativo, reflexiones y propuestas.” Entorno Educativo, Reflexiones y Propuestas 1, no. 2 (2020): 49. https://repositorio.cidecuador.org/bitstream/123456789/151/1/entorno-educativo-reflexiones-y-propuestas.pdf.

González, P., A. Hermosilla Ávila, C. Mena Bastías, y S. Contreras. “Una mirada a la calidad de vida y salud de las educadoras de párvulos.” Ciencia y Trabajo 20, no. 61 (2021): 42–47. https://dx.doi.org/10.4067/S0718-24492018000100042.

Gobierno de México. “Acerca de nosotros: gob.mx.” gob.mx, 27 de agosto de 2021. https://www.gob.mx/inapam/articulos/calidad-de-vida-para-un-envejecimiento-saludable?idiom=es.

Jacobs, H. Interdisciplinary Curriculum: Design and Implementation. Alexandria, VA: Association for Supervision and Curriculum Development, 2020. https://archive.org/details/interdisciplinar0000unse_h0i4.

López, B. “Factores y etapas del proceso de formación y orientación vocacional y profesional.” Revista Publicando 1, no. 1 (2020): 72–85. https://revistapublicando.org/revista/index.php/crv/article/download/11/pdf_8/98.

López, G., L. Torres, M. Bahamón, y L. Silvera. “Calidad de vida en jóvenes universitarios.” Archivos Venezolanos de Farmacología y Terapéutica 39, no. 3 (2020): 391–95. https://www.researchgate.net/publication/343022625_Calidad_de_vida_en_jovenes_universitarios.

Martín, R. “Actividad física y calidad de vida en el adulto mayor: Una revisión narrativa.” Revista Habanera de Ciencias Médicas 17, no. 5 (2022): 813–25. http://www.revhabanera.sld.cu/index.php/rhab/article/view/2418.

Martínez, N., J. Villalobos, y M. Machado. “Autorrealización: Elaboración de la escala ADO-20 para su evaluación en docentes.” Revista Estudios en Educación 3, no. 4 (2020): 181–211. http://ojs.umc.cl/index.php/estudioseneducacion/article/view/92.

Mejía, E., y L. Perdomo. “La vocación: Un concepto religioso instalado en la formación profesional.” Revista Latinoamericana de Filosofía de la Educación 7, no. 13 (2020): 53–73. http://ixtli.org/revista/index.php/ixtli/article/view/132.

MINEDUC. Manual de interpretación del inventario de preferencias profesionales de jóvenes. Quito: Ministerio de Educación del Ecuador, 2019. https://educacion.gob.ec/wp-content/uploads/downloads/2017/04/Inventario-de-Preferencias-Profesionales-para-JovenesIPPJ.pdf.

MINEDUC. Manual de orientación vocacional y profesional para los departamentos de consejería estudiantil. Quito: Ministerio de Educación del Ecuador, 2019. https://educacion.gob.ec/wp-content/uploads/downloads/2016/06/A.-Manual-de-OVP.pdf.

Naranjo, E. Metodología de la investigación científica. [Ciudad]: Editorial Universitaria, 2024. https://elibro.net/es/ereader/uta/151737?page=1.

Navarrete, C., Y. Maureira, y P. Céspedes. “Evaluación de una estrategia de acompañamiento a la orientación vocacional en estudiantes secundarios de las regiones de Ñuble y Biobío.” Revista de Estudios y Experiencias en Educación 20, no. 44 (2021): 254–68. https://doi.org/10.21703/0718-5162.v20.n43.2021.015.

Niama, L., C. Villalva, y M. Terán. “Toma de decisión y preferencias al optar por una carrera universitaria en estudiantes de la ciudad de Riobamba, Ecuador.” Revista Espacios 41, no. 35 (2020): 1–17. https://www.revistaespacios.com/a20v41n35/a20v41n35p07.pdf.

Parras Laguna, A., A. M. Madrigal Martínez, S. Redondo Duarte, P. Vale Vasconcelos, y E. Navarro Asencio. Orientación educativa: Fundamentos teóricos, modelos institucionales y nuevas perspectivas. Madrid: Secretaría General Técnica, Subdirección General de Información y Publicaciones, 2012. https://www.researchgate.net/publication/259677339.

Poblete, Y., y A. Jiménez. “Estrategias para el desarrollo del autoconocimiento y motivación de estudiantes de educación superior.” Revista Reflexión e Investigación Educacional 2, no. 1 (2019): 15–34. https://doi.org/10.22320/reined.v2i1.3856.

Rivas, F., Á. Acevedo Duque, y V. Castillo Blanco. “La calidad de vida compleja: Referente organizacional para la política de seguridad social venezolana.” Revista Visión Gerencial 19, no. 2 (2020): 272–86. http://erevistas.saber.ula.ve/visiongerencial.

Rodríguez, M., G. Tapia, A. Armas, I. Roy, y H. Jiménez. “Percepción de calidad de vida en estudiantes universitarios en época de pandemia.” [Nombre de Revista] 18, no. 1 (2024): 29–38. https://www.redalyc.org/journal/5728/572876500005/html/.

Sampieri, R., y C. Mendoza. Metodología de la investigación: Las rutas cuantitativa, cualitativa y mixta. Ciudad de México: McGraw-Hill Interamericana Editores, 2021. http://www.biblioteca.cij.gob.mx/Archivos/Materiales_de_consulta/Drogas_de_Abuso/Articulos/SampieriLasRutas.pdf.

Sampieri, R., C. Fernández Collado, y M. del P. Baptista Lucio. Metodología de la investigación. Ciudad de México: McGraw-Hill Interamericana Editores, 2019. https://www.esup.edu.pe/wp-content/uploads/2020/12/2.%20Hernandez,%20Fernandez%20y%20Baptista-Metodolog%C3%ADa%20Investigacion%20Cientifica%206ta%20ed.pdf.

Vega, V., C. Jenaro Río, N. Flores Robaina, M. Cruz Ortiz, y C. Artaza. “Calidad de vida de adultos con discapacidad intelectual institucionalizados en Chile desde la perspectiva de los proveedores de servicios.” Universitas Psychologica 12, no. 3 (2020): 923–32. http://www.scielo.org.co/scielo.php?script=sci_arttext&pid=S1657-92672013000300022&lng=en&tlng=es.

Veramendi, N. G., E. Portocarero Merino, y F. E. Espinoza Ramos. “Estilos de vida y calidad de vida en estudiantes universitarios en tiempo de Covid-19.” Revista Universidad y Sociedad 12, no. 6 (2020): 246–51. http://scielo.sld.cu/scielo.php?script=sci_arttext&pid=S2218-36202020000600246&lng=es&tlng=es.

Villarreal, M. A., J. Moncada Jiménez, P. Y. Ochoa Martínez, y J. A. Hall López. “Percepción de la calidad de vida del adulto mayor en México.” Retos, no. 41 (2021): 480–84. https://doi.org/10.47197/retos.v0i41.58937.

Las opiniones, análisis y conclusiones del autor son de su responsabilidad y no necesariamente reflejan el pensamiento de la Revista Inclusiones.


[1] Carolina Navarrete, Yohana Maureira y Paulina Céspedes, "Evaluación de una estrategia de acompañamiento a la orientación", Revista de estudios y experiencias en educación vocacional en estudiantes secundarios de las regiones de Ñuble y Biobío 20, n.º 44 (2021): 260, https://doi.org/10.21703/0718-5162.v20.n43.2021.015.

[2] Silvia Alvarado, "Conducta vocacional del estudiantado de la carrera de Orientación de la Universidad de Costa Rica", Revista Electrónica "Actualidades Investigativas en Educación" 23, n.º 2 (2023): 18, https://doi.org/10.15517/aie.v23i2.52964.

[3] Un "entorno académico contemporáneo" es un entorno educativo que es dinámico y adaptable y combina tecnologías avanzadas, métodos pedagógicos innovadores y estructuras organizativas flexibles. Este entorno está diseñado para satisfacer las necesidades cambiantes de los estudiantes y la sociedad. Este entorno se caracteriza por promover la interdisciplinariedad, el aprendizaje activo y la incorporación de herramientas digitales para facilitar una educación personalizada y centrada en el alumno (Bond et al., 2020; Jacobs, 2020; Dwedar, 2022).

[4] Ernesto Alarcón y Beatriz Cortón, "Identidad profesional pedagógica e identidad nacional: sus relaciones", EduSol 81, n.º 22 (2022): 119; Johan Cantor y Amanda Altavaz, "Los modelos pedagógicos contemporáneos y su influencia en el modo de actuación profesional pedagógico", Varona, n.º 68 (2019): 7, https://www.redalyc.org/journal/3606/360671526021/.

[5] Se describe los elementos que componen el entorno académico contemporáneo. Información obtenida de (Giler at al., 2020).

[6] María López, *Desafíos en la orientación vocacional institucional* (Quito: Editorial Universitaria, 2020), 45.

[7] Antonio Parras et al., "Interacción estudiantil en contextos de asesoramiento profesional", *Revista Iberoamericana de Educación* 60, n.º 2 (2012): 78.

[8] Enrique Farfán Mejía y Luis Perdomo, "Vocación y autorrealización: una aproximación secular", *Revista Ixtli* 12, n.º 3 (2020): 112, http://ixtli.org/revista/index.php/ixtli/article/view/132.  

4. Carlos Condori, "Satisfacción vocacional en entornos multiculturales", *Revista de Psicología Aplicada* 29, n.º 1 (2021): 34.

[9] Carlos Condori, "Satisfacción vocacional en entornos multiculturales", *Revista de Psicología Aplicada* 29, n.º 1 (2021): 34.

[10] Fatima Niama et al., *Orientación vocacional en la adolescencia: metodologías participativas* (Lima: PUCP Editorial, 2020), 89-91.

[11] Se describe los enfoques de actuación de la orientación vocacional en el Manual de Orientación Vocacional y Profesional para los Departamentos de Consejería Estudiantil del Ecuador (MINEDUC, 2019). Este presenta estos puntos de vista que permiten al orientador tener las dimensiones que forman a un individuo en su desarrollo completo, y cómo se emplea durante el proceso de Orientación Vocacional y Profesional (OVP).

[12] Ministerio de Educación (MINEDUC), Manual de Orientación Vocacional y Profesional para los Departamentos de Consejería Estudiantil (Quito: MINEDUC, 2019), https://educacion.gob.ec/wp-content/uploads/downloads/2016/06/A.-Manual-de-OVP.pdf

[13] Mariana A. Borzone, “Autoeficacia y vivencias académicas en estudiantes universitarios,” Acta Colombiana de Psicología 20, no. 1 (2019): 275–83, http://www.dx.doi.org/10.14718/ACP.2017.20.1.13

[14] Yessenia Poblete y Ana Jiménez, “Estrategias para el desarrollo del autoconocimiento y motivación de estudiantes de educación superior,” Revista Reflexión e Investigación Educacional 2, no. 1 (2019): 15–34, https://doi.org/10.22320/reined.v2i1.3856.

[15] Patricia González et al., “Una Mirada a la Calidad de Vida y Salud de las Educadoras de Párvulos,” Ciencia y Trabajo 20, no. 61 (2021): 42–47, https://dx.doi.org/10.4067/S0718-24492018000100042.

[16] Rosa Martín Aranda, “Actividad física y calidad de vida en el adulto mayor. Una revisión narrativa,” Revista Habanera de Ciencias Médicas 17, no. 5 (2022): 813–25, http://www.revhabanera.sld.cu/index.php/rhab/article/view/2418.

[17] Gobierno de México, “Calidad de vida para un envejecimiento saludable,” INAPAM, 27 de agosto de 2021, https://www.gob.mx/inapam/articulos/calidad-de-vida-para-un-envejecimiento-saludable?idiom=es.

[18] Martín Aranda, “Actividad física y calidad de vida en el adulto mayor.”

[19] González et al., “Una Mirada a la Calidad de Vida y Salud de las Educadoras de Párvulos.”

[20] María A. Villarreal et al., “Percepción de la calidad de vida del adulto mayor en México,” Retos 41 (2021): 480–84, https://doi.org/10.47197/retos.v0i41.58937.

[21] Nelson Martínez et al., “Autorrealización: elaboración de la escala ADO-20 para su evaluación en docentes,” Revista Estudios en Educación 3, no. 4 (2020): 181–211, http://ojs.umc.cl/index.php/estudioseneducacion/article/view/92.

[22] Franklin Rivas et al., “La calidad de vida compleja: referente organizacional para la política de seguridad social venezolana,” Revista Visión Gerencial 19, no. 2 (2020): 272–86, http://erevistas.saber.ula.ve/visiongerencial.

[23] Ibid.

[24] María Doubront y Luis Doubront, “Impacto del contexto económico, social y político de Venezuela en el docente universitario. Análisis desde la pirámide de Maslow,” Dissertare Revista De Investigación En Ciencias Sociales 5, no. 2 (2020): 1–15, https://revistas.uclave.org/index.php/dissertare/article/view/2791.

[25] María Vega et al., “Calidad de vida en familias con atrofia muscular espinal durante la pandemia por COVID-19: a propósito de 3 casos pediátricos,” ResearchGate, 2020, https://www.researchgate.net/publication/362106658_CALIDAD_DE_VIDA_EN_FAMILIAS_CON_ATROFIA_MUSCULAR_ESPINAL_DURANTE_LA_PANDEMIA_POR_COVID-19_A_PROPOSITO_DE_3_CASOS_PEDIATRICOS

[26] Roberto Hernández-Sampieri y Christian Paulina Mendoza Torres, Metodología de la investigación: Las rutas cuantitativa, cualitativa y mixta (Ciudad de México: McGraw Hill Education, 2021), https://repo.utel.edu.mx/recursos/files/r161r/w26118w/Las%20rutas%20cuantitativa.pdf

[27] Juan Ferreyra, Enfoques metodológicos en la investigación educativa (Lima: Editorial Universitaria, 2024).

[28] María Naranjo, Correlación entre aptitudes vocacionales y calidad de vida en estudiantes universitarios (Quito: Editorial UCE, 2024).

[29] Ilustración a partir de los resultados obtenidos del test CHASIDE.

[30] Ilustración a partir de los resultados obtenidos de la escala GENCAT.

[31] Carmina Wanden-Berghe, Helena Martín-Rodero y Amelia Rodríguez-Martín, “Calidad de vida y sus factores determinantes en universitarios españoles de Ciencias de la Salud,” ResearchGate, diciembre de 2021, https://www.researchgate.net/publication/271326161_Calidad_de_vida_y_sus_factores_determinantes_en_universitarios_espanoles_de_Ciencias_de_la_Salud_-_Quality_of_life_and_its_determinants_in_spanish_university_students_of_health_science_factors

[32] Juan López et al., “Estilos de vida y calidad de vida en estudiantes universitarios en tiempo de Covid-19,” ResearchGate, septiembre de 2021, https://www.researchgate.net/publication/354372367_Estilos_de_vida_y_calidad_de_vida_en_estudiantes_universitarios_en_tiempo_de_Covid-19

[33] María Rodríguez et al., “Calidad de vida en estudiantes de ciencias de la salud de una universidad privada en Nuevo León, México,” SciELO, 2024, http://www.scielo.org.pe/scielo.php?script=sci_arttext&pid=S2308-05312022000100089

[34] Figura creada a partir del programa SPSS.

[a]Se recomienda que las referencias bibliográficas no se inserten, si no que estén se anoten de manera manual.

[b]

[c]

[d]Todos las citas les acabo de pasar a manual

[e]Las referencias que vienen juntas se anotan en el mismo paréntesis: (Alarcón & Cortón, 2022; Cantor y Altavaz, 2019)

[f]Corregido

[g]En caso del superíndice se puede explicar de lo que se esta hablando en el párrafo

[h]Se corrige y se coloca a pie de página: Un "entorno académico contemporáneo" es un entorno educativo que es dinámico y adaptable y combina tecnologías avanzadas, métodos pedagógicos innovadores y estructuras organizativas flexibles. Este entorno está diseñado para satisfacer las necesidades cambiantes de los estudiantes y la sociedad. Este entorno se caracteriza por promover la interdisciplinariedad, el aprendizaje activo y la incorporación de herramientas digitales para facilitar una educación personalizada y centrada en el alumno (Bond et al., 2020; Jacobs, 2020; Dwedar, 2022).

[i]Indicar si la tabla es elaboración propia

[j]Se agrega como nota: Elaboración propia basada en Giler (2020).

[k]Aquí hablas del concepto, considero que quedaría mejor al inicio del texto.

Revisar bibliografía, indicar si la tabla es elaboración propia, revisar lo de los superíndices, tratar de incluir en el texto principal la información

[l]Se ve pertinente el cambio al inicio del párrafo y se procede con la nota en la tabla

[m]De que manera se determinó este número de muestra

[n]Se acaba de colocar los criterios de inclusión y exclusión que fueron considerados

[o]Arriba indicaban 153

[p]Arriba ya acabo de aclarar: De la población general que contempla 153 estudiantes, se considera una muestra de 147 estudiantes, considerando un muestreo no probabilístico por conveniencia, aplicando criterios de inclusión y exclusión

[q]Aplicar espacio entre el número y el signo 14.29 %

[r]Se aplicó la sugerencia en todos los %

[s]No es necesario indicarlo en cada resultado

[t]Se corrige el error en cada análisis.

[u]Me gustaría saber el determinas el tipo de calidad de vida, es decir de acuerdo a tales autores, porque es muy subjetiva

[v]Aquí se aclara que la ilustración a partir de los resultados obtenidos de la escala GENCAT. Además se describe un artículo con autores que alimentan el párrafo.

[w]Indicar que es una imagen

[x]Insertado Figura 3

[y]Indicar elaboración propia

[z]

[aa]Poner las referencias manuales

[ab]justificado

[ac]Se justifico y pasó a referencias manuales